Se você trabalha com usinagem, sabe que o sucesso de uma peça não depende apenas da máquina, mas da escolha correta dos parâmetros de corte. Dois dos conceitos mais fundamentais para otimizar a produção e evitar a quebra de ferramentas são a Força Específica de Corte (Kc) e a Velocidade de Corte (Vc).
Neste artigo, disponibilizamos uma tabela completa para consulta rápida e explicamos como aplicar esses dados no seu dia a dia no torno.
O que é a Velocidade de Corte (Vc)?
A velocidade de corte é a velocidade relativa entre a aresta da ferramenta e a superfície da peça que está sendo usinada. Ela é expressa em metros por minuto ($m/min$).
- Velocidade alta: Aumenta a produtividade e melhora o acabamento, mas gera mais calor e desgasta a ferramenta rapidamente.
- Velocidade baixa: Aumenta a vida útil da ferramenta, mas pode causar o fenômeno de “gume postiço” e demorar mais para finalizar a peça.
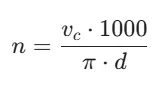
A fórmula básica para encontrar a rotação (RPM) a partir da Vc é:

(Onde d é o diâmetro da peça em mm).
O que é a Força Específica de Corte (Kc)?
A força específica (Kc, também chamada de pressão específica de corte, é a força necessária para remover uma seção transversal de cavaco de 1 mm². Esse valor varia drasticamente de acordo com o material da peça (aço, alumínio, ferro fundido) e o avanço da ferramenta.
Ela é essencial para calcular a Potência de Corte (Pc) necessária no motor do torno, evitando sobrecargas:

Tabela de Referência para Torneamento


Utilizar a tabela de força específica e velocidade de corte é o primeiro passo para uma usinagem técnica e profissional. Além de garantir a integridade da máquina, você economiza em ferramentas e entrega peças com melhor qualidade superficial.